←
返回首页
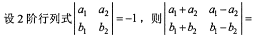
[单选题]
A
-2
B
-1
C
1
D
2
正确答案:D
题目解析
最新题目
[多选题]
下列各项中,属于管理会计职能的有()。
[单选题]
下列劳动者的收入中,属于工资的是( )
[练习题]
A particular r ...
[单选题]
组织形象要不断地给人一种适应形势、生机勃...
[简答题]
纯底薪计划
[单选题]
在刑事诉讼程序中,公安机关、人民检察院在...
[单选题]
被执行人未按生效法律文书指定的期间履行给...
[单选题]
下列不属于评价估计了优劣标准的是
[单选题]
人们为达到一定的目的,对未来时期的活动所...
[单选题]
设f(x)=e-x2-1,g(x)=x2...
扫描二维码
免费搜题、免费刷题、免费查看解析
粤ICP备2024339408号-1