←
返回首页
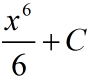
[单选题]
A
5x
B
5x+C
C
D
正确答案:D
题目解析
本题考查的是基本积分公式。
故本题选D。
最新题目
[单选题]
除直接分配法外,其他辅助生产费用的分配方...
[简答题]
逃税罪
[简答题]
【333中央民族大学】论述赞科夫的发展性...
[单选题]
网络协议中定义实体之间交换信息的顺序以及...
[单选题]
儿童动作的发展从头部和躯干动作开始,然后...
[练习题]
项目管理共性体系培养主要包括、工作职能体...
[判断题]
【东北师范大学】语素、词、短语、句子是语...
[简答题]
数学操作活动的规则
[单选题]
道德与其他社会意识形式的区别在于其较弱的...
[单选题]
因处方组成含千里光,不宜过量或持久服用的...
扫描二维码
免费搜题、免费刷题、免费查看解析
粤ICP备2024339408号-1