←
返回首页
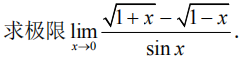
[简答题]
正确答案:
题目解析
最新题目
[多选题]
A证券的预期报酬率为12%,标准差为15...
[单选题]
既是课程实施的终点,又是深化课程实施的起...
[单选题]
( )指出:“一个单独的提琴手是自己指挥...
[练习题]
我国必须大力实施科教兴国战略,使国民经济...
[单选题]
从预备动作的不同可以将跳跃动作分为哪些形...
[多选题]
股份有限公司2006年9月销售商品一批,...
[简答题]
名词解释:质量过失弥补
[单选题]
Rosemary is ________...
[单选题]
要让幼儿动作技能、身体姿势、各器官系统同...
[单选题]
现代物流和传统储运的最本质区别是( )
扫描二维码
免费搜题、免费刷题、免费查看解析
粤ICP备2024339408号-1