←
返回首页
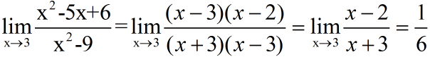
[简答题]
正确答案:
题目解析
最新题目
[单选题]
甲为设立蓝天公司,以自己的名义承租乙公司...
[多选题]
清朝的职官选任方式主要有()
[单选题]
施工企业职业健康安全管理体质的运行及维持...
[单选题]
shade____________wit...
[单选题]
本书构建的国内智力资本报告不包括下列哪个...
[单选题]
年,毛泽东在( )一文中第一次提...
[单选题]
提出"文学革命,只是要替中国创造一种国语...
[单选题]
两个以上的申请人分别就同样的发明创造申请...
[单选题]
早期出现肺门及纵膈多发淋巴结转移的肺癌类...
[单选题]
在利用约当投资分成法确定无形资产收益额时...
扫描二维码
免费搜题、免费刷题、免费查看解析
粤ICP备2024339408号-1