←
返回首页
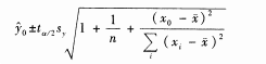
[单选题]下列属于y的预测区间估计计算公式的是( )
A
B
C
D
正确答案:D
题目解析
A、C两项不是置信区间估计公式而是标准差的计算公式,B是平均值的置信区间估计,D是预测区间估计。
最新题目
[单选题]
( )指持有人只能按照事先约定的利率获得...
[单选题]
在杜邦财务分析体系中,综合性最强的财务比...
[单选题]
方言之间的差异主要体现在( )。
[单选题]
富勒认为,法律应该具有普遍的、公开的、可...
[单选题]
下列关于商业银行风险文化的描述,最不恰当...
[单选题]
个人出租住房减按()征收率计算缴纳增值税...
[单选题]
从短期的战术性操作与管理的对象——员工的...
[单选题]
高等学校应当每()至少举办一次消防安全专...
[单选题]
的值是:
[单选题]
“民以食为天”记载于
扫描二维码
免费搜题、免费刷题、免费查看解析
粤ICP备2024339408号-1