←
返回首页
[单选题]设样本
来自均值为μ的总体,那么总体均值μ的无偏估计量是( )
A
B
C
D
正确答案:A
题目解析
关于无偏估计量,统计学中有两个重要结论:
(1)样本均值
是总体均值μ的无偏估计量。
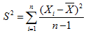
(2)样本方差
是总体方差
的无偏估计量。
最新题目
[多选题]
物料编码的基本原则有哪些?
[多选题]
公司基于不同的考虑会采用不同的股利分配政...
[多选题]
企业缴纳的下列税额中,应作为城市维护建设...
[单选题]
教师备课,除了钻研教材、设计教法之外,还...
[简答题]
学校文化:
[单选题]
目前,国际储备多元化表现为 ()
[单选题]
在采用完工百分比法确认提供务收入的情况下...
[单选题]
偶发性科学活动的特点之一是()
[单选题]
修建一所希望小学以改善当地的教育条件,这...
[单选题]
某企业2019年向自有员工实际发放合理工...
扫描二维码
免费搜题、免费刷题、免费查看解析
粤ICP备2024339408号-1