←
返回首页
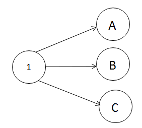
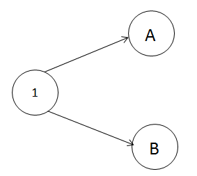
[单选题]根据下表绘制的单代号网络图第一步正确的是()
A
B
C
D
正确答案:A
题目解析
单代号网络图需要开始节点,排除CD,而根据题干信息,AB工作无紧前工作,因此可以判断:最先开始的工作应该是AB两项,故本题选A。
最新题目
[单选题]
2.下列各项中,不能通过投资组合分散掉的...
[多选题]
文字处理的内容包括以下哪些方面。()
[简答题]
试述考核与评价领导者的方法。
[综合题]
由新教师成长为专家教师,会经历一段艰难甚...
[简答题]
信息系统资源系统观有哪几点含义?
[单选题]
光照范围大,普遍照度高,光照均匀,但它无...
[单选题]
社会统筹与个人账户相结合的基本养老保险制...
[单选题]
记者的智力因素中,有一个重要内容,即
[单选题]
曹操《短歌行》中两次引用的古诗成句出自t...
[单选题]
在上世纪上半叶的中国,为疏解城市的拥挤,...
扫描二维码
免费搜题、免费刷题、免费查看解析
粤ICP备2024339408号-1