←
返回首页
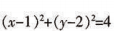
[单选题]已知变换矩阵
,则A将空间曲面
变成( )。
A
圆
B
椭圆
C
抛物线
D
双曲线
正确答案:B
题目解析
则方程为
,两边同时乘36并整理可得
,即为
,,次方程表示以(2,6)为椭圆的中心,长轴为6,短轴为4的椭圆。故选B。
最新题目
[多选题]
由社会分化导致的语言变化现象有()
[练习题]
期望理论、强化理论和是三种较为典型的过程...
[模拟题]
门店存货管理包括:仓库作业管理、保质期管...
[单选题]
’m feeling cold. Wou...
[单选题]
[单选题]
“圣人不行而知”,这种观点属于( )
[单选题]
学生的品行评价是指()
[单选题]
下列关于资金的时间价值表述错误的是( )
[单选题]
洞室顶拱部位有如图所示的被裂隙围限的四个...
[单选题]
某建设工程项目进口一台大型生产设备,采用...
扫描二维码
免费搜题、免费刷题、免费查看解析
粤ICP备2024339408号-1