←
返回首页
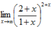
[单选题]极限
的值是( )。
A
0
B
1
C
e
D
e²
正确答案:C
题目解析
。
最新题目
[判断题]
组织的目标都是以其不同的活动内容为基础的...
[简答判断题]
20世纪70年代西方发达国家的货币政策中...
[单选题]
对审计重要性的理解,下列不完善的是( )
[单选题]
既是“九叶”诗派中最具代表性的诗人,也是...
[简答题]
简述服务质量SERVQUAL模型有哪些决...
[单选题]
政府实施新的环保政策,限制了某些资产的使...
[单选题]
1989年,联合国大会通过的第一部有关保...
[单选题]
若价格条款中规定如下:“USD1000....
[单选题]
一个非零的无符号二进制数,若在右边末尾加...
[单选题]
行为金融理论认为()Ⅰ市场是有效的,市场...
扫描二维码
免费搜题、免费刷题、免费查看解析
粤ICP备2024339408号-1