←
返回首页
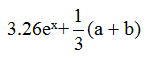
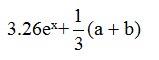
[单选题]C语言表达式3.26*exp(x)+(a+b)/3所表示的数学表达式是()
A
B
C
D
正确答案:C
题目解析
C语言表达式3.26*exp(x)+(a+b)/3所表示的数学表达式是
最新题目
[判断题]
当串联釜的釜数趋近于无穷多个时,其反应器...
[多选题]
20世纪20年代以来,美国一些学者系统地...
[判断题]
过程控制系统中,需要控制的工艺设备(塔、...
[单选题]
政治国家和民族国家的统合体是( )
[单选题]
He was a man o...
[简答题]
分析戴望舒诗作《雨巷》的象征艺术手法及音...
[单选题]
【四川师范大学】学生在课堂上一边听讲一边...
[简答题]
简述公证机构执业的例外规定的几种情形。
[单选题]
依据我国税法规定,计算企业所得税时无形资...
[单选题]
世界上最早的教育著作是
扫描二维码
免费搜题、免费刷题、免费查看解析
粤ICP备2024339408号-1