←
返回首页
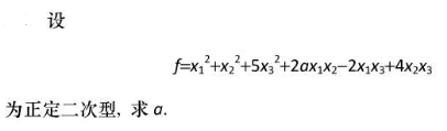
[简答题]
正确答案:
题目解析
最新题目
[单选题]
刘老师看到乐乐打了一个喷嚏,在浓浓的鼻涕...
[单选题]
下列各项中,属于日记账登记特点的是()。
[简答题]
简述家庭与婚姻的理论解释。
[单选题]
在专制君主制时期,代表法国完成中央集权化...
[单选题]
某市工业企业2016年生产经营成果年报呈...
[单选题]
下列关于无过错责任原则的表述正确的是
[单选题]
正常人眼视近物时的调节主要通过()
[单选题]
大多数第三世界国家的入口出生率所属的范围...
[单选题]
The idiom “earn one’...
[单选题]
以下不属于常用的人际传播形式的是
扫描二维码
免费搜题、免费刷题、免费查看解析
粤ICP备2024339408号-1