←
返回首页
[简答题]
正确答案:
题目解析
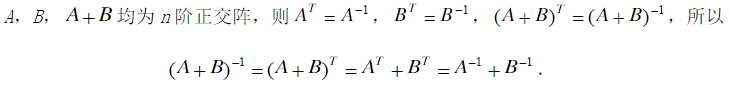
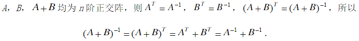
考察正交矩阵的基本性质:
最新题目
[练习题]
生产者的行为目标被假定为。
[练习题]
招聘成本分为总招聘成本和
[简答题]
【安徽师范大学——333教育综合】名词解...
[多选题]
我国长江保护法第一条规定,为了加强长江流...
[多选题]
绩效计划制订的准备阶段的必要信息主要有(...
[单选题]
农村劳动力和人口向城市转移的过程,也就是...
[单选题]
每一项不动产都具有其独特性是指不动产投资...
[单选题]
作用在平面上的三力A、F2、F3,组成图...
[单选题]
重新建构权力关系,建立妇女网络与网络之间...
[单选题]
海底:隧道:汽车
扫描二维码
免费搜题、免费刷题、免费查看解析
粤ICP备2024339408号-1