←
返回首页
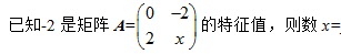
[模拟题]
。
正确答案:-4
题目解析
最新题目
[单选题]
在PowerPoint2010中,打开演...
[单选题]
雕塑《断臂维纳斯》在古希腊和文艺复兴时期...
[单选题]
在写作《野草》期间,鲁迅曾翻译过的《苦闷...
[多选题]
下列各项中,属于与合同直接相关的成本的有...
[单选题]
清朝大臣向皇帝秘密上书的形式是( )
[单选题]
办文过程中落实领导批示的关键环节是
[单选题]
法国古典主义文学创作取得最高成就的是
[单选题]
白嘉轩是陈忠实的著名小说_____中的人...
[单选题]
[单选题]
某拟建项目向一中型河流排污,在地表水评价...
扫描二维码
免费搜题、免费刷题、免费查看解析
粤ICP备2024339408号-1