←
返回首页
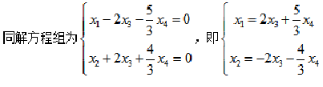
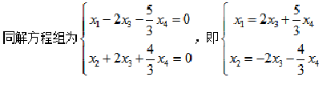
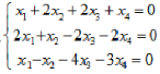
[简答题]求解齐次方程组的解:
正确答案:
题目解析
最新题目
[判断题]
Shibor是上海银行间同业拆借利率的简...
[单选题]
在文献研究法中,使用最广泛的文献形式是(...
[模拟题]
在自闭症儿童早期干预过程当中,临床人员必...
[单选题]
20世纪80年代以来,西方国家城市政府开...
[单选题]
因港口作业中发生纠纷提起的诉讼,享有管辖...
[单选题]
下列税款征收方式可以办理停业、复业登记的...
[单选题]
[单选题]
某工业企业2017年有关资料如下:201...
[单选题]
下列各句中,没有歧义的一项是:
[单选题]
下列()不是制动跑偏、甩尾的原因。
扫描二维码
免费搜题、免费刷题、免费查看解析
粤ICP备2024339408号-1