←
返回首页
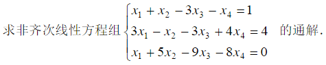
[简答题]
正确答案:
题目解析
用初等行变换把方程组的增广矩阵化成简化行阶梯矩阵,得到同解方程组:
最新题目
[单选题]
can’t understand thi...
[单选题]
从三方机制的构成和运行实践看,其特点是主...
[单选题]
鲁迅创作中,诗与散文相结合,采用抒情为主...
[单选题]
人员招聘应该用尽可能低的招聘成本录用高素...
[简答题]
解释句中加下划线词的意义。莊子妻死,惠子...
[多选题]
企业的货币资金支出主要有( ...
[单选题]
【厦门大学】《太阳照常升起》是美国作家(...
[简答题]
请阐述公司发行股票的三种方法。
[单选题]
高等教育评估指标体系设计的科学性原则又称...
[单选题]
下列会计科目中,属于损益类科目的是()。
扫描二维码
免费搜题、免费刷题、免费查看解析
粤ICP备2024339408号-1