←
返回首页
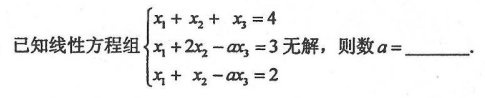
[简答题]
正确答案:
-1
题目解析
最新题目
[单选题]
在关系代数的传统集合运算中,假定有关系R...
[单选题]
Passage2Youmayhavehe...
[判断题]
我国企业会计准则规定,所有单位都应以权责...
[单选题]
在差错编码中,下列关于CRC编码的说法中...
[简答题]
SHORT ANSWER QUESTIO...
[单选题]
在具有高度凝聚力的决策小组中,容易出现为...
[简答题]
《运转车长工作》
[单选题]
下列各项中,不属于原始凭证审核内容的是
[单选题]
当出现下列哪一种情况时利率趋于下降?
[单选题]
成本领先战略的主要动力是
扫描二维码
免费搜题、免费刷题、免费查看解析
粤ICP备2024339408号-1