←
返回首页
[简答题]
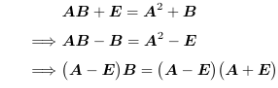
正确答案:
即A-E可逆
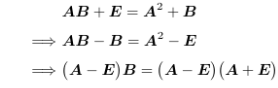
题目解析
即A-E可逆
最新题目
[判断题]
唐代的妇人以瘦为美。
[多选题]
黏性土的界限含水率有()。
[简答判断题]
合伙人可以自营或者同他人合作经营与本合伙...
[单选题]
下列关于“威尔尼克失语症”的表述,不正确...
[简答题]
名词解释:内在效度。
[多选题]
企业向银行借款10万元,存入银行。这项业...
[单选题]
民间非营利组织接受捐赠的固定资产,捐赠方...
[单选题]
《党的组织和党的出版物》发表于
[单选题]
免疫调理作用最强的Ig是
[单选题]
敏感性分析程序是( )
扫描二维码
免费搜题、免费刷题、免费查看解析
粤ICP备2024339408号-1