←
返回首页
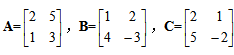
[简答题]已知
,
X满足AX+B=C,求X
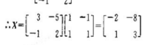
正确答案:
题目解析
、
最新题目
[多选题]
下列性质中不属于广度性质的是
[单选题]
人力资源数量规划的方法不包括( )。
[单选题]
以语言简洁著称的海明威,在《老人与海》中...
[单选题]
人的审美意识觉醒的重要标志是( )
[单选题]
在全国人大及其常委会领导下,研究、审议和...
[单选题]
细胞膜损伤不包括()
[单选题]
关于系统教学活动的特点描述错误的是()
[单选题]
根据《上海证券交易所科创板股票发行上市申...
[单选题]
()冷菜的拼摆原则是:整齐划一,构图均衡...
[单选题]
服务对象说“我老了,不中用了,被部队当作...
扫描二维码
免费搜题、免费刷题、免费查看解析
粤ICP备2024339408号-1