←
返回首页
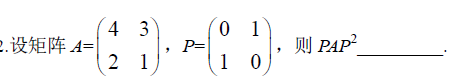
[简答题]
正确答案:
题目解析
最新题目
[判断题]
非意愿怀孕,艾滋病感染,性暴力等几类生殖...
[单选题]
最近似完全竞争市场结构的行业是()
[单选题]
儿童游戏的特点不包括( )
[单选题]
甲和乙共同创作完成了长篇历史小说《汉武帝...
[单选题]
学前有特殊教育需要的儿童是指( )
[单选题]
伦斯基的社会分层理论,被称为()
[单选题]
向主机报告监管信息的是下列哪个部件()
[单选题]
统计噪声级L10表示()。
[单选题]
[单选题]
大型光伏发电系统按安装容量可分为小、中、...
扫描二维码
免费搜题、免费刷题、免费查看解析
粤ICP备2024339408号-1