←
返回首页
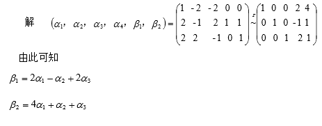
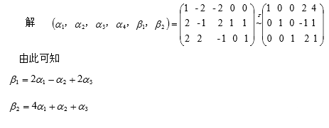
[简答题]
正确答案:
题目解析
最新题目
[多选题]
钻孔灌注桩的基础钢筋工作内容包括()接头...
[综合题]
[单选题]
1953年中国共产党提出“一...
[单选题]
下列事故中,不属于意外伤害保险合同的保险...
[单选题]
对墙和柱模板的要求,主要是保证其垂直度以...
[单选题]
[单选题]
关于差异性目标市场策略的特点,下列说法不...
[单选题]
核酸由()组成。
[单选题]
把直流电压变换为可调的(或固定的)交流电...
[单选题]
我国要求用()道德培养和塑造每一个中华人...
扫描二维码
免费搜题、免费刷题、免费查看解析
粤ICP备2024339408号-1