←
返回首页
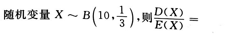
[单选题]
()
A
2/3
B
1/3
C
1
D
1/10
正确答案:A
题目解析
最新题目
[单选题]
2.以下说法正确的是()。
[多选题]
克莱夫•贝尔的“有意味的形式...
[单选题]
研究对象从过去到现在有一个运动倾向,这种...
[单选题]
关于分析程序的目的, 以下事项中,不恰当...
[单选题]
被公认为非全面调查方法中用来推算全面的最...
[单选题]
提供商品或者服务,侵害消费者权益的经营者...
[多选题]
火灾自动报警系统适用场所包括( ...
[单选题]
在进行水平角观测时,若瞄准的是目标正上方...
[单选题]
《大教学论》一书中,夸美纽斯提出新的教学...
[单选题]
大肠杆菌是动物肠道的正常菌群成员之一,下...
扫描二维码
免费搜题、免费刷题、免费查看解析
粤ICP备2024339408号-1