←
返回首页
[简答题]
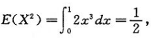
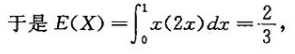
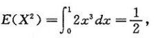
正确答案:
题目解析
最新题目
[单选题]
超额剩余价值的源泉是( )
[单选题]
“资金利润率目标”属于企业四种战略目标中...
[简答题]
Directions:Answer th...
[单选题]
假设某公司今后不打算增发普通股或回购股票...
[简答题]
说明句中加下划线词的词性和意义。獨韓文公...
[单选题]
孙老师教“因式分解”时,发现学生的知识基...
[简答题]
基本建设贷款
[单选题]
选择性争端解决方式的英文缩写是( )
[单选题]
清朝将罪犯发配至边疆给驻防的八旗官兵当差...
[单选题]
把问题解决的思路扩散到和问题相关的领域,...
扫描二维码
免费搜题、免费刷题、免费查看解析
粤ICP备2024339408号-1