←
返回首页
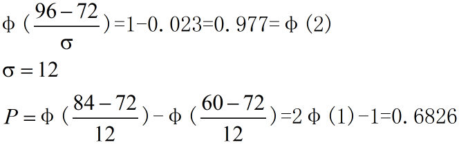
[简答题]
正确答案:
题目解析
最新题目
[单选题]
中外合资经营企业合营各方缴清全部出资后方...
[简答题]
解释句中加下划线词的意义。仁人之言,其利...
[单选题]
优秀教师不仅具备扎实的学科知识、学科数学...
[单选题]
个体传承人对于民间文学的贡献,最重要的体...
[单选题]
学前课程理念越强调规范性,则课程内容越具...
[单选题]
2017年8月,排名“中国互...
[简答题]
税收资本化
[单选题]
秘书与公众关系具有公务性、代表性和
[单选题]
下列各项关于车船税计税的依据及税额的表述...
[单选题]
管道的固定焊口应远离设备,且不宜与设备接...
扫描二维码
免费搜题、免费刷题、免费查看解析
粤ICP备2024339408号-1