←
返回首页
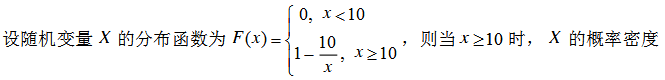
[简答题]
_____________
正确答案:
题目解析
最新题目
[单选题]
在 Excel 2010 中,下列哪项函...
[练习题]
由于无声电影的魅力,无声电影获得了“”的...
[简答题]
全面测评与择优开发
[判断题]
的NVIC 是Cortex-M3 的NV...
[单选题]
个结点的顺序表中,访问第i个结点(1&l...
[单选题]
颅内压增高病人的卧位是()
[单选题]
某肝癌晚期患者住院期间情绪激动,常常指责...
[单选题]
我国急性胰腺炎的主要病因是( )。
[单选题]
肝癌术前护理错误的是( )。
[单选题]
某项目的投标总价为4500万元,投标保证...
扫描二维码
免费搜题、免费刷题、免费查看解析
粤ICP备2024339408号-1