←
返回首页
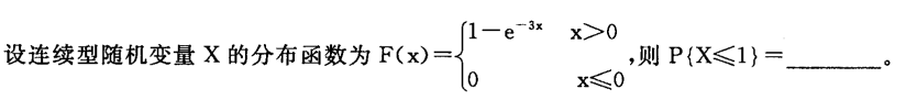
[简答题]
正确答案:
题目解析
最新题目
[单选题]
企业无形资产的取得方式主要有外购和自行研...
[综合题]
游褒禅山记 王安石 ...
[单选题]
( )是指在时间上的延续和代际间的传递。
[单选题]
标志着邻接权的保护进入国际保护阶段的公约...
[单选题]
下列语句中,哪个在 Python 中是非...
[判断题]
在 ps 中,颜色模式决定用来显示和打印...
[单选题]
某工程合同工期为20个月,承包人修改后的...
[简答题]
创业者
[简答题]
进奏院状
[单选题]
结构化系统开发方法由____策略和开发策...
扫描二维码
免费搜题、免费刷题、免费查看解析
粤ICP备2024339408号-1