←
返回首页
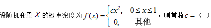
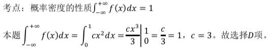
[单选题]
A
1/3
B
1/2
C
2
D
3
正确答案:D
题目解析
最新题目
[单选题]
诗句“恸哭六军俱缟素,冲冠一怒为红颜”出...
[单选题]
未成年人享有以下哪些权利( ...
[单选题]
一般用于电子邮件接收的协议是
[单选题]
计算机在管理中的应用主要在于日常业务与事...
[单选题]
某35kV变电所,两回电缆进线,装有两台...
[单选题]
2008年1月1日,甲公司将一栋自用的房...
[单选题]
败血症患儿行静脉输液时应特别强调
[单选题]
男,49岁,患肝硬化六年,近三天来大量利...
[单选题]
纵隔恶性淋巴瘤有以下表现,错误的是:()
[单选题]
在Word中,若要将当前编辑的文档存为扩...
扫描二维码
免费搜题、免费刷题、免费查看解析
粤ICP备2024339408号-1