←
返回首页
[练习题]
。
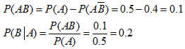
正确答案:0.2
题目解析
最新题目
[单选题]
在拍摄重大仪式、庆典活动时,正面角度常常...
[多选题]
根据法律规定,境外并购发生下列情形时,应...
[练习题]
研究的是人口的生产与再生产的经济问题。
[简答题]
[古汉语]桑梓
[判断题]
=18与Z=20的齿轮相比,Z=20的齿...
[单选题]
护士在发给心力衰竭患者地高辛之前,应先数...
[单选题]
下列做法正确的是()。
[单选题]
简单移动平均法一般适用于时间序列数据是(...
[单选题]
常用来作为对未来收益率的无偏估计的指标是...
[单选题]
张某,男,30岁,疑似禽流感患者。在传染...
扫描二维码
免费搜题、免费刷题、免费查看解析
粤ICP备2024339408号-1