←
返回首页
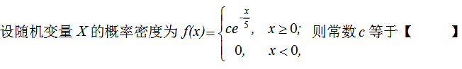
[单选题]
A
-1/5
B
1/5
C
1
D
5
正确答案:B
题目解析
根据正则性,f(x)在(-∞,+∞)上的积分应该等于1。
本题计算过程如下:
答案为B。
最新题目
[多选题]
某公司因合同纠纷的诉讼时效问题咨询律师。...
[单选题]
应急照明与标识属于( )
[简答题]
公告
[单选题]
对于产品销售量大的企业来说,成本最低的一...
[单选题]
现代人力资源的开发是多层次的,人力资源开...
[单选题]
新建水泥混凝土路面验收时,不需要检验( ...
[单选题]
男,60岁。急性肾功能衰竭病人,血钾5....
[单选题]
下列关于数据的分类说法错误的是()。
[单选题]
热变性的DNA分子在适当条件下可以复性,...
[单选题]
心肌梗死的合并症不包括
扫描二维码
免费搜题、免费刷题、免费查看解析
粤ICP备2024339408号-1