←
返回首页
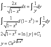
[简答题]
正确答案:
题目解析
最新题目
[多选题]
创造力是成功地完成某种创造性活动所必需的...
[单选题]
按()分类,会计报表可以分为外部报表和内...
[单选题]
《无工开物》的作者是( )
[单选题]
公司清算以提起清算程序的依据不同,可分为...
[简答题]
体态语
[单选题]
下列关于健康教育的说法正确的是
[单选题]
一所学校,一个专业性很强的教育、教学、管...
[单选题]
当完全竞争厂商(并非整个行业)处于长期均...
[单选题]
To lose weight, you ...
[单选题]
下列关于适应性免疫应答特点的叙述错误的是...
扫描二维码
免费搜题、免费刷题、免费查看解析
粤ICP备2024339408号-1