←
返回首页
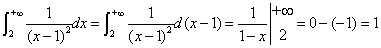
[练习题]
。
正确答案:1
题目解析
最新题目
[判断题]
当某种商品的价格上升时,其互补商品的需求...
[简答题]
简述保付代理手续费包括哪些?
[单选题]
在家庭关系中,最基本的关系是( )
[单选题]
项目成本变更是在项目实施过程中由于项目组...
[判断题]
笺是指在注旁加注附记自己的意见。
[判断题]
如果观察到充分就业预算盈余在减少,可以认...
[单选题]
封装在光电隔离耦合器内部的是( ...
[单选题]
市场学研究中,建立公共关系的是
[单选题]
企业劳动定额常用的两种基本形式是工时定额...
[单选题]
金融机构之间最主要的调剂资金的市场是( ...
扫描二维码
免费搜题、免费刷题、免费查看解析
粤ICP备2024339408号-1