←
返回首页
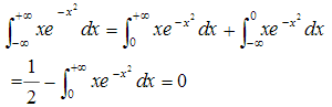
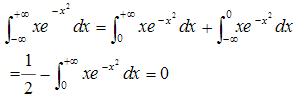
[简答题]
此积分的值为
正确答案:
题目解析
最新题目
[单选题]
下列关于俄国十月革命对中国的影响的表述,...
[单选题]
与其他定量分析相比,内容分析的主要缺点是...
[多选题]
在内容和结构上,青少年与早期个体的自我概...
[单选题]
以教养方式的基本向度(因素)划分家长教养...
[练习题]
在接口中,通常一个接口中包含有多个可寻址...
[简答题]
净同化率
[单选题]
为确保既定薪酬方案顺利落实而采取的种种相...
[单选题]
下列选项中,可以不交流或者暂缓交流的情形...
[单选题]
下列离子中具有18+2电子构型的是:
[单选题]
阅读下列FORTRAN77程序:INTE...
扫描二维码
免费搜题、免费刷题、免费查看解析
粤ICP备2024339408号-1