←
返回首页
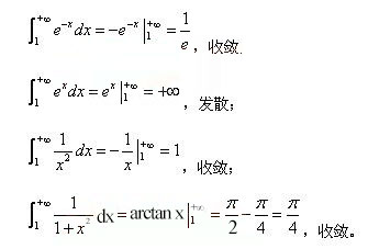
[单选题]下列无穷反常积分发散的是()
A
B
C
D
正确答案:B
题目解析
最新题目
[单选题]
下列名言与“赠人玫瑰,手有余香;关爱别人...
[判断题]
铸件尺寸允许的变动量称为铸件尺寸公差。
[单选题]
根据个人所得税法律制度的规定,下列所得中...
[单选题]
强调重点是培训环境与工作环境完全相同的培...
[练习题]
描述命题”A小于B或小于C”的表达式为。
[单选题]
下列成语中,源于赵匡胤陈桥事变故事的是(...
[单选题]
下面哪一个标签不是文本的属性标签?
[单选题]
对婴儿来说,最好的营养品是( )
[单选题]
应用麻醉药利多卡因时宜( )。
[单选题]
某物流企业发生如下业务: (1)经批准...
扫描二维码
免费搜题、免费刷题、免费查看解析
粤ICP备2024339408号-1