←
返回首页
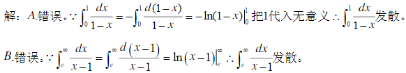
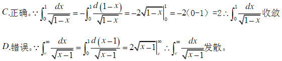
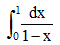
[单选题]下列广义积分中,收敛的是( )
A
B
C
D
正确答案:C
题目解析
最新题目
[多选题]
关于将来问题,面试官通常会怎样提问?
[单选题]
()是检出的相关文献与检出的全部文献的百...
[单选题]
《清忠谱》成功塑造了新兴的市民群体,他们...
[单选题]
《张司业集》的作者是( )
[单选题]
研究者在实际抽样(特别是概率抽样)时,经...
[单选题]
格伯纳等提出的“涵化”理论,指受众在传媒...
[单选题]
如果()等于或大于100%说明在数量上全...
[单选题]
参与氧化脱氨基的是( )。
[单选题]
首先的处理是( )。
[单选题]
操作比较简单,但对基层或底板的平整度要求...
扫描二维码
免费搜题、免费刷题、免费查看解析
粤ICP备2024339408号-1