←
返回首页
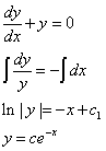
[单选题]下列函数中为微分方程y'+y=0的解的是( )
A
B
C
D
正确答案:C
题目解析
最新题目
[判断题]
“每无意求工,而清超越俗,正复出人意表”...
[多选题]
下列关于资产组合投资说法正确的有( ...
[单选题]
“你们可以给他们以爱,却不可给他们以思想...
[简答题]
用欧拉图表示下列概念之间的关系:高中生(...
[练习题]
编辑环境指的是媒体载具所提供的对品牌及广...
[单选题]
被誉为“行政学的先驱”的是( ...
[单选题]
十三届全国人大一次会议第四次全体会议新增...
[单选题]
企业开发产品过程中发生的、计入开发产品成...
[单选题]
在异议处理工作中常常遇到的异议申请不包括...
[单选题]
太奇公司是一家生产饮料的外资企业,该公司...
扫描二维码
免费搜题、免费刷题、免费查看解析
粤ICP备2024339408号-1