←
返回首页
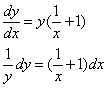
[单选题]下列微分方程中可分离变量的是( )
A
B
C
D
正确答案:B
题目解析
最新题目
[多选题]
文化整合的原则?
[单选题]
“汉园三诗人”之一,并著有诗集《预言》、...
[单选题]
提出“坚持教育为社会主义现代化建设服务,...
[练习题]
【浙江师范大学】《阿诗玛》是流传在族撒尼...
[简答题]
交替排序法
[单选题]
我国国有企业改革的一个重要战略是
[单选题]
依照我国公司法的规定,股东的出资方式不包...
[单选题]
对财务费用进行质量分析时,如果企业存在外...
[单选题]
根据布卢姆的认知领域教育目标分类,“每个...
[单选题]
法洛四联症心电图的主要表现为:()
扫描二维码
免费搜题、免费刷题、免费查看解析
粤ICP备2024339408号-1