←
返回首页
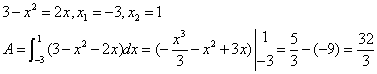
[简答题]
正确答案:
题目解析
最新题目
[判断题]
一般说来,园所的条例系统包括三个方面的内...
[单选题]
消费者在购物时出于生活习惯和业余爱好,偏...
[简答题]
工作压力
[单选题]
把任何情况都看做是一场意志力的竞争和搏斗...
[单选题]
通过为员工提供更多的刺激和满足,从而提高...
[单选题]
下列词语中,相同的字读音全部相同的一组是...
[单选题]
尤尔根•哈贝马斯的主要著作是()
[单选题]
世界各国设置关税,税率的重要依据是()
[单选题]
工作规范也称()
[单选题]
直径为d的实心圆轴受扭,在扭矩不变的情况...
扫描二维码
免费搜题、免费刷题、免费查看解析
粤ICP备2024339408号-1