←
返回首页
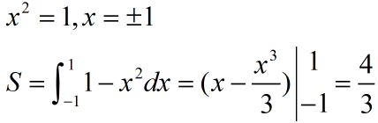
[练习题]
。
正确答案:4/3
题目解析
最新题目
[单选题]
Amongthefollowingart...
[单选题]
专著、论文、调查报告等属于( )
[单选题]
あの店の料理はおいしいです。( )、いつ...
[练习题]
杂志广告文案写作的语言风格是:对象化、个...
[单选题]
farmer has many____o...
[单选题]
唐代倡导新乐府运动的代表人物是
[单选题]
葡萄球菌和链球菌感染主要的炎细胞是()
[单选题]
如果输入固定资产的原值和净值,可自动计算...
[单选题]
肾脏近端小管对小管液中有用成分重吸收的特...
[单选题]
下列关于党的领导的说法,哪一选项是不正确...
扫描二维码
免费搜题、免费刷题、免费查看解析
粤ICP备2024339408号-1