←
返回首页
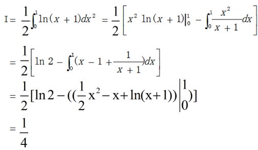
[简答题]
正确答案:
题目解析
最新题目
[单选题]
thisresearchhasattra...
[单选题]
以下公文中不需要发文字号的文种是(&nb...
[单选题]
parrot的意思是( )
[单选题]
下列选项中被看作个体活动积极性的内在源泉...
[综合题]
材料 1 .华远股份有限公司...
[单选题]
在补码一位乘法算法(Booth算法)中,...
[简答题]
广义的就业制度
[单选题]
以下关于买进看涨期权的说法,正确的是( ...
[单选题]
《企业投资项目核准暂行办法》规定:对于企...
[单选题]
房地产开发企业在对其开发的某商品住宅进行...
扫描二维码
免费搜题、免费刷题、免费查看解析
粤ICP备2024339408号-1