←
返回首页
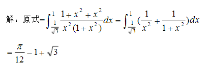
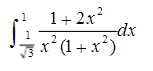
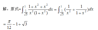
[简答题]
正确答案:
题目解析
最新题目
[单选题]
material enjoyment的意...
[多选题]
管理学家厄威克的主要著作有( )
[判断题]
不同文化背景下,右利手的人一般占多数。
[简答题]
现代商务礼仪有何特点?
[单选题]
断肢再植术后皮温突然下降,相差( )℃...
[单选题]
企业采用权益法核算,其长期股权投资的初始...
[单选题]
下列表述中,说明了《秋水》(节选)主要构...
[单选题]
道德品质形成的动力是
[单选题]
企业当期利润总额扣除()后,为当期净利润...
[单选题]
2019年7月,某商贸公司(一般纳税人)...
扫描二维码
免费搜题、免费刷题、免费查看解析
粤ICP备2024339408号-1