←
返回首页
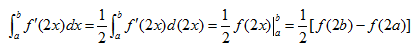
[简答题]
正确答案:
题目解析
考察定积分的换元积分法。运用定积分的第一类换元积分法,即凑微分法,计算定积分时,可以不必设中间变量。因为在积分过程中没有进行变量代换,因此积分上、下限不用改变。
最新题目
[多选题]
行政许可决定程序主要有( )
[单选题]
依次填入下面文字中横线处的词语,恰当的一...
[简答题]
【扬州大学——333教育综合】论述杜威关...
[综合题]
案例:杨某,男,原是某大学法律系法学专业...
[多选题]
下列劳动争议仲裁申诉书正文应载明的内容中...
[多选题]
从主试的结构与实施程序来划分,面试有( ...
[单选题]
广播新闻专稿是一个具有两栖性质的( )
[单选题]
妇科恶性肿瘤化疗中,最常见和最严重的不良...
[单选题]
假定公司现在决定投资5000000元,5...
[单选题]
Passage ThreeOn a dr...
扫描二维码
免费搜题、免费刷题、免费查看解析
粤ICP备2024339408号-1