←
返回首页
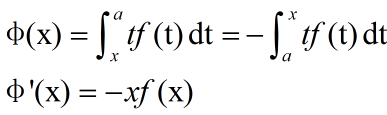
[单选题]
( )
A
xf(x)
B
af(x)
C
-xf(x)
D
-af(x)
正确答案:C
题目解析
最新题目
[判断题]
守门员用手和臂部持球5秒可判犯规。
[单选题]
既考虑到最大限度地节约人力成本,又要尽可...
[单选题]
元朝法律规定的强奸幼女罪中,“幼女”的年...
[单选题]
“论说古今,万不耐一”中“耐”的意思是(...
[单选题]
提供低成本或免息的分期付款,尤其对昂贵的...
[单选题]
数字推理:给你一组数字,但其中缺少一项,...
[单选题]
政府部门直接履行监管、处罚、强制、稽查等...
[单选题]
Energy Cycle (能量循环)D...
[单选题]
不利选择和道德风险对信息非对称的划分角度...
[单选题]
某男,56岁。喘促日久,动则喘甚,舌淡,...
扫描二维码
免费搜题、免费刷题、免费查看解析
粤ICP备2024339408号-1