←
返回首页
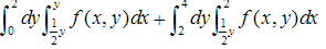
[简答题]设f(x,y)是连续函数,交换二重积分顺序
正确答案:
题目解析
最新题目
[判断题]
用户坐标系统(UCS)有助于建立自己的坐...
[多选题]
下列各项中,应计入应付职工薪酬的有()。
[模拟题]
为了论证社会分工的合理性,柏拉图进一步丰...
[简答题]
同义词的表达作用主要表现在哪些方面?&n...
[简答题]
分析《子路、曾皙、冉有、公西华侍坐篇》中...
[单选题]
教学工作的诸环节中,( )是中心环节,是...
[简答判断题]
国家取得税收收入既不需要偿还,也不需要对...
[单选题]
被测试者在以下哪种形式中是处于最兴奋状态...
[单选题]
关于预应力混凝土薄壁管施工规定的说法中,...
[单选题]
A.外毒素
扫描二维码
免费搜题、免费刷题、免费查看解析
粤ICP备2024339408号-1