←
返回首页
[简答题]
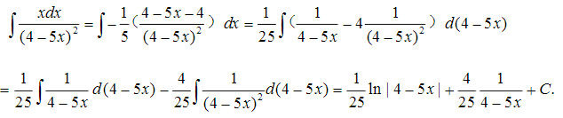
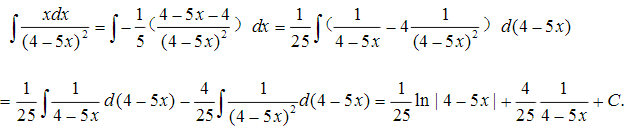
正确答案:
题目解析
最新题目
[单选题]
如果将PCA应用于带标签的分类数据:
[单选题]
在家庭教育中,家长以自身良好的思想行为品...
[单选题]
用来测定控制对象(工作和人)工作成果的指...
[判断题]
利用闪光灯拍摄人像需注意避免“红眼效应”...
[单选题]
在关系运算中,投影运算的含义是(&nbs...
[单选题]
既是研究者政策建议的依据又是决定反垄断规...
[单选题]
在我国市政体制中,中共市委联系市民的桥梁...
[单选题]
相对于资本市场而言,下列各项中,属于货币...
[单选题]
治疗胎位不正最常用的腧穴是( )。
[单选题]
从业人员在向客户提供理财顾问服务时需要掌...
扫描二维码
免费搜题、免费刷题、免费查看解析
粤ICP备2024339408号-1