←
返回首页
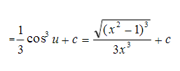
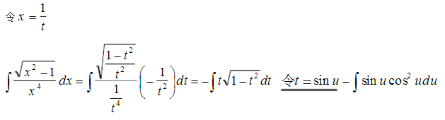
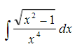
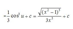
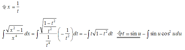
[简答题]计算
正确答案:
题目解析
最新题目
[单选题]
中峰行笔时,尽量要求笔锋的指向与行笔方向...
[单选题]
The following are th...
[模拟题]
质量的好坏多用“与总商品数的比”来衡量。
[简答题]
危机域
[单选题]
城市市区人口尤其大城市市区人口郊区化、大...
[单选题]
m>n是n维向量组α1,α2,…,αm线...
[单选题]
一般来说,代表媒介编辑部发言,根据党和政...
[单选题]
[单选题]
按照规定,建设单位应当在领取施工许可证的...
[单选题]
国有资本预算是国家以()身份依法取得国有...
扫描二维码
免费搜题、免费刷题、免费查看解析
粤ICP备2024339408号-1