←
返回首页
[简答题]
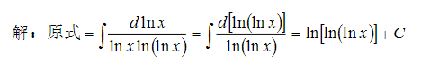
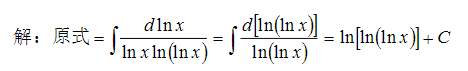
正确答案:
题目解析
最新题目
[单选题]
NPN型基本共射放大电路输出电压出现了非...
[单选题]
设有类A的对象Aobject,若用成员函...
[单选题]
将计算空间划分为众多相互关联的体积元,通...
[综合题]
Directions: In this ...
[单选题]
( )的评价中心是迈克于20世纪70年代...
[简答题]
反垄断法的域外效力
[单选题]
关于现代人力资源管理与传统人事管理的区别...
[单选题]
Kussmaul呼吸常见于( )。
[单选题]
根据现行烟叶税法规定,下列说法正确的是(...
[单选题]
DHCP协议的功能是(请作答此空);FT...
扫描二维码
免费搜题、免费刷题、免费查看解析
粤ICP备2024339408号-1