←
返回首页
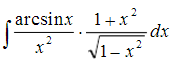
[简答题]计算
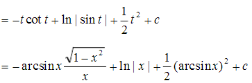
正确答案:
题目解析
最新题目
[单选题]
魏源在其()中,提出了“师夷长技以制夷”...
[单选题]
在项目的合同体系中,( )是最重要的节点
[单选题]
肠蛔虫症、急性肠炎、肠痉挛、食物过敏等病...
[练习题]
会展业的产业联动性通过拉动效应、&nbs...
[简答题]
请解释下面句中加粗的词并简要说明其古今词...
[单选题]
15. What flowers do ...
[多选题]
关于正当防卫的概念,下列说法正确的有
[简答题]
被告人居住地
[单选题]
幼儿园教师最常用到的家庭教育个别指导方式...
[单选题]
理解马克思主义政治经济学的枢纽是()
扫描二维码
免费搜题、免费刷题、免费查看解析
粤ICP备2024339408号-1