←
返回首页
[单选题]
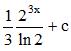
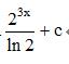
A
B
C
D
正确答案:A
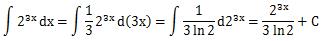
题目解析
考察不定积分
最新题目
[单选题]
下列不属于材料预算价格的是( )
[单选题]
关于开放式基金份额的转换,以下表述错误的...
[多选题]
甲公司2×17年对两项无形资产进行了处置...
[单选题]
保持走路时全身平衡的保证是( )
[简答题]
行为塑造法
[单选题]
教学媒体的个别特性不包括
[单选题]
以发现人的潜在才能、深人了解其长处和发展...
[单选题]
表层消费文化心理的表现是( )
[单选题]
国际卡特尔订价的最基本出发点是()
[单选题]
( )是根据党或国家的总政策、总任务而...
扫描二维码
免费搜题、免费刷题、免费查看解析
粤ICP备2024339408号-1