←
返回首页
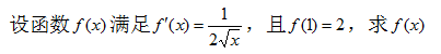
[简答题]
正确答案:
题目解析
考察根据导数求原函数,应用不定积分的性质进行求解
最新题目
[判断题]
电影院、剧院也是属于娱乐场所。
[多选题]
关于无差异曲线的特征,下列说法正确的有(...
[单选题]
根据皮亚杰的儿童品德发展理论,儿童开始倾...
[多选题]
公文中常用的字体有( )
[多选题]
自我素养主要包含哪几个方面?
[单选题]
国务院需根据宪法和法律或( )制定行政...
[单选题]
学校管理计划划分为整体计划和部门、个人计...
[单选题]
中国人民银行的特殊地位体现在()
[单选题]
关于固定汇率制度,下列表述正确的是( )...
[单选题]
不宜采用的洗胃液是( )。
扫描二维码
免费搜题、免费刷题、免费查看解析
粤ICP备2024339408号-1