←
返回首页
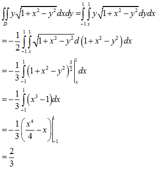
[简答题]
正确答案:
题目解析
最新题目
[填空题]
写出下列真值对应的原码和补码的形式。1....
[单选题]
One of Dickens' late...
[单选题]
某事业单位因经营活动所需,以经营租赁方式...
[多选题]
下列关于水资源税征收管理的说法正确的有(...
[单选题]
将文学创作看成是作家的“白日梦”的人是(...
[单选题]
以下关于制裁和禁运的说法不正确的是( )
[练习题]
是促进教育公平、提高教育质量的重要手段。
[简答题]
中共孝感县委
[单选题]
机关管理的强制协调方法适用于( )
[单选题]
计算产品品种计划完成率时必须遵循
扫描二维码
免费搜题、免费刷题、免费查看解析
粤ICP备2024339408号-1