←
返回首页
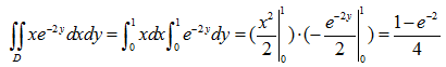
[简答题]
正确答案:
题目解析
最新题目
[简答题]
学前教育督导
[练习题]
请写出划线假名对应的当用汉字。正確なきお...
[简答判断题]
效率指目标达成度,涉及活动的结果。
[单选题]
定义了开发人员必须实现的软件系统功能,使...
[单选题]
最容易接受工作分析活动的群体是( )
[单选题]
属于手工创作过程中意图阶段指导的是( )
[单选题]
将书刊资料中的各种事物名称分别摘录,按一...
[单选题]
国际市场营销学是源于( )
[简答题]
世界人口宣言
[单选题]
政府行政监督既包含对全社会各种项目的参与...
扫描二维码
免费搜题、免费刷题、免费查看解析
粤ICP备2024339408号-1